成功案例
商务部:将对原产于美国、韩国和欧盟的进口三
作者: 365bet亚洲体育 点击次数: 发布时间: 2025-12-20 11:45
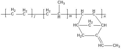
商务部今天发布公告,宣布对原产于美国、韩国和欧盟的进口乙烯、丙烯和二烯橡胶所适用的反倾销措施启动年终复审研究。 2020年12月18日,商务部发布2020年第60号公告,决定自2020年12月20日起对原产于美国、韩国和欧盟的进口三元乙丙橡胶征收反倾销税。税率为:美国企业214.9%至222.0%,美国企业12.5%至24.5%。韩国公司,韩国公司为 12.5% 至 24.5%,欧盟公司为 14.7% 至 31.7%。执行期限为5年。根据商务部2021年第3号公告,2020年12月31日英国脱欧过渡期结束后,此前对欧盟实施的贸易救济措施将继续适用于欧盟和英国,实施期限不变。英国不会在此日期之后,在欧盟发起的任何新调查或贸易救济审查案件中,不再被视为欧盟成员国。 2025年10月17日,商务部受理了中国石油化工集团公司吉林石化分公司和上海中石化三井弹性体有限公司(以下简称申请人)代表国内三元乙丙橡胶行业提交的反倾销措施终审申请。申请人辩称,如果反倾销措施终止,原产于美国、韩国和欧盟的进口三元乙丙橡胶对中国的倾销可能继续或重复,对中国产业造成的损害可能继续或重复。我们请求商务部对原产于美国、韩国和欧盟的进口三元乙丙橡胶所适用的反倾销措施有效期进行复审,并维持反倾销措施。申请人没有要求 Fi对原产于英国的进口三元乙丙橡胶适用的反倾销措施进行终审。根据《中华人民共和国反倾销条例》的有关规定,商务部对申请人的资格、涉案产品及中国同类产品的情况、反倾销措施实施期间涉案产品的进口状况、倾销继续或者再度发生的可能性、损害继续或者再度发生的可能性以及相关证据进行了审查。现有证据表明,申请人符合《中华人民共和国产业和产业代表性反倾销条例》第十一条、第十三条和第十七条的规定,有资格代表中国三元乙丙橡胶产业提出申请。调查机构必须确信申请人的指控和所提供的表面证据是真实的e 足以为最终审查奠定基础。我相信我符合要求。根据《中华人民共和国反倾销条例》第四十八条的规定,商务部决定自2025年12月20日起对原产于美国、韩国和欧盟的进口乙烯、丙烯和二烯橡胶所适用的反倾销措施进行期末复审调查。有关事项公告如下。一、继续实施反倾销措施。根据商务部的建议,国务院海关委员会决定继续对进口乙烯和丙烯二烯橡胶征收反倾销税。美国、韩国、欧盟等国按照商务部2020年第60号公告公布的税目范围和税率,在进口乙烯和丙烯二烯橡胶期满复审调查期内,继续征收反倾销税。f 反倾销措施。自2025年12月20日起,适用于英国进口三元乙丙橡胶的反倾销措施将到期。结尾。对各公司征收的反倾销税税率如下: 美国公司 1. 陶氏化学公司 222.0%(陶氏化学公司) 2. 埃克森美孚公司 214.9%(埃克森美孚公司) 3. ARLANXEO USA Co., Ltd. 219.8%(ARLANXEO USA LLC) 4. Lion Copolymer Geismar Co., Ltd. 219.8%(Lion Copolymer) Geismar, LLC) 5. 其他美国企业 222.0% 韩国企业 1. KUMHO POLYCHEM Co., Ltd. 12.5% (KUMHO POLYCHEM Co., Ltd.) 2. Lotte Versalis Elastomers Co., Ltd. 21.1% (Lotte Versalis Elastomers Co., Ltd.) 3. 其他韩国企业 24.5% 欧盟企业 1. ARLANXEO 荷兰Co., Ltd. 18.1% (ARLANXEO Dutch B.V.) 2. ExxonMobil Chemical France 14.7% (ExxonMobil Chemical France Société par Actions Simplifiée) 3. Versalis S.p.A. 16.5% 4. 其他欧盟公司 31.7% 2. 复审调查期 倾销调查期本次复审的期限为2024年7月1日至2025年6月30日,产业损害调查期为2021年1月1日至2025年6月30日。 三、调查产品范围的审查 调查产品范围为与本部反倾销措施产品范围一致的单一反倾销措施产品。该公告已于2020年第60号商务公告中公布。具体详情如下。被调查产品名称:三元乙丙橡胶。英文名称:Ethryl Proxy Non-conjugated Diene Rubber或三元乙丙橡胶(EPDM)Estru化学结构: 物化性能:EPDM橡胶是乙烯、丙烯和非共轭二烯的三元共聚物。室温下为白色或微黄色固体,易于混合。三元乙丙橡胶的物理、化学和加工性能主要取决于聚合物的分子结构。有七个与分子结构有关的因素,如第三单体的类型、门尼粘度和油的延伸含量。三元乙丙橡胶具有优良的耐老化性、耐化学药品性、耐低温性和介电性能。主要用途:三元乙丙橡胶用途广泛,可用于建筑、电线电缆、汽车工业、交通运输等领域。在建筑中,主要用于保护单层屋顶。电线电缆方面,主要用于民用和商业建筑电源输入线、工程机械电缆、矿用电缆、核电站电缆、汽车点火线、控制和信号电缆等。在汽车行业,主要用于轿车、卡车和客车的非轮胎部件,包括汽车水箱、耐热软管、密封条、橡胶带、车身和底盘部件、挡风雨条、地板、环形管等。在应用方面,它主要用于密封车辆门窗、减震和防水。该产品适用《中华人民共和国进出口税则号》第40027010号和第40027090号。 四、审查内容本次审查内容是对原产于美国、韩国和欧盟的进口三元乙丙橡胶的反倾销措施。其中包括ping措施是否会结束以及是否会出现倾倒或损坏。它可以继续或重复。五、有意登记参加调查的各方可于本公告发布之日起20天内,向商务部贸易调查和资源办公室登记参加本次反倾销期满复审调查。参加调查的利害关系方需提供基本身份信息、向中国进出口被调查产品的数量和数量、生产、销售的同类产品的种类、数量及相关信息按照《调查参与登记参考表》执行。 《研究参与记录参考表》可在商务部网站商业资源调查局子网站下载。 l有意登记参加本次反倾销调查的当事人须通过“贸易救济调查信息平台”(https://etrb.mofcom.gov.cn)提交电子版,同时按照商务部的要求提交纸质版。电子版和纸质版必须内容相同、格式一致。本公告所称利害关系方是指《中华人民共和国反倾销条例》第十九条规定的个人和组织。六、利害关系人可以查阅、抄录、复制非保密内容。本案申请人提交的申请书全文可从商务部网站贸易救济调查子网站下载或访问商务部贸易救济公共咨询办公室.commerce(电话:0086-10-65197878)。调查过程中,利害关系方可以通过相关网站查阅公开案件信息,也可以到商务部商事救济公开信息审查办公室查找、查看、抄录、复制公开案件信息。七、立案评论利害关系方对本次调查的产品范围、申请人资格、调查涉及的国家(地区)等相关问题如需发表评论,可于本公告发布之日起20日内向商务部贸易调查和资源办公室提交书面评论。八、依第二十条规定之调查方法根据《中华人民共和国反倾销条例》的规定,商务部可以采取问卷、调查、约谈、现场检查等方式确定有关当事人的状况并进行调查。为了获得调查此事所需的信息,商务部通常会在登记截止日期后的 10 个工作日内向感兴趣的各方发送调查问卷,以参加表中规定的调查。感兴趣的各方可以从商务部网站贸易救济调查办公室子网站下载调查问卷。有意向者应注意以下事项: 在规定时间内提交完整、准确的答复。答卷必须包含调查所需的所有信息。 9. 信息的呈现和处理 利害关系方在调查过程中提交意见、答卷等时,必须出示资料通过贸易救济研究信息平台(https://etrb.mofcom.gov.cn)电子版,同时按照商务部要求提供纸质版。电子版和纸质版必须内容相同、格式一致。如果利害关系方向商务部提交的信息需要保密的,利害关系方可以要求商务部对相关信息保密并说明理由。如果商务部接受请求,要求保密的利害关系方还必须提供其非保密信息的摘要。非保密摘要必须包含足够的重要信息,以使其他利害关系方能够合理地理解保密信息。如果您无法提供非机密摘要,则必须说明原因。如果利害关系方提交的信息不能证明出于保密需要,商务部将把该信息视为公开信息。十、不合作的后果 根据《中华人民共和国反倾销条例》第二十一条的规定,商务部进行调查时,利害关系方必须如实报告情况,提供有关资料。利害关系方未如实报告情况、未提供有关情况、未在合理期限内提供所要求的信息或者有其他严重妨碍调查的情况的,商务部可以根据事实和现有的最佳信息作出决定。 11.研究期限本研究将于2025年12月20日开始,预计于2026年12月20日结束(不含今日)。 上一篇:“警察和消防员共同努力”保护基础防火墙 下一篇:没有了
